https://www.acmicpc.net/problem/2252
2252번: 줄 세우기
첫째 줄에 N(1 ≤ N ≤ 32,000), M(1 ≤ M ≤ 100,000)이 주어진다. M은 키를 비교한 회수이다. 다음 M개의 줄에는 키를 비교한 두 학생의 번호 A, B가 주어진다. 이는 학생 A가 학생 B의 앞에 서야 한다는 의
www.acmicpc.net
위상 정렬 알고리즘을 사용하면 풀 수 있습니다. 간단하게 설명하자면 어떤 노드를 방문하는데 조건이 있는 경우 위상정렬을 사용하게 됩니다.
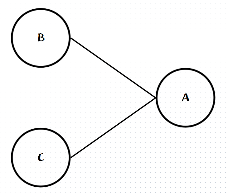
특정 노드 A 를 방문할 때 B, C 를 선행 방문해야 한다고 가정하겠습니다. A와 B, A 와 C를 간선으로 연결하고, 각 노드에서의 들어오고 나가는 간선을 체크해줍니다.

A : 나가는 간선 0 / 들어오는 간선 2
B : 나가는 간선 1 / 들어오는 간선 0
C : 나가는 간선 1 / 들어오는 간선 0
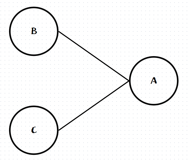
우선 들어오는 간선이 0 인 노드를 모두 큐에 집어 넣습니다. 들어오는 간선이 0 이라는 말은 선행 조건이 없다는 말과 같으므로 큐에 넣을 수 있습니다.
queue = [B, C]
큐에 넣은 노드와 연결된 노드, 즉 큐에 넣은 노드가 선행 조건인 노드의 들어오는 간선을 -1 해줘야합니다. 해당 노드를 방문하며 선행 조건을 만족했기 때문입니다. 현재 문제에서는 나가는 간선은 신경쓰지 않아도 됩니다.
A : 나가는 간선 0 / 들어오는 간선 2 -1 -1 = 0
B : 나가는 간선 0 / 들어오는 간선 0
C : 나가는 간선 0 / 들어오는 간선 0
그리고 BFS 를 사용하는데, 다음 큐에 넣는 조건은 현재 노드와 연결되어 있으면서 들어오는 간선이 0 인 경우입니다. 이를 반복하면 됩니다.
'Coding Test > BaekJoon_Python' 카테고리의 다른 글
| 백준 1766 <문제집> Python (1) | 2023.12.27 |
|---|---|
| 백준 3665 <최종 순위> Python (1) | 2023.12.26 |
| 백준 5670 <휴대폰 자판> Python (0) | 2023.12.25 |
| 백준 14425 <문자열 집합> Python (0) | 2023.12.24 |
| 백준 14725 <개미굴> Python (1) | 2023.12.23 |