728x90
https://www.acmicpc.net/problem/2042
제목만 보면 부분합 알고리즘을 사용할 것 같지만 어떻게 보면 비슷한 세그먼트 트리 기본 문제입니다.
세그먼트 트리는 부분합과 비슷한 부분이 있습니다. 바로 부분의 값을 미리 계산해 놓고 필요할 때 적은 계산만으로 값을 도출하는 방법이라는 점 입니다.
다만 세그먼트 트리는 중간에 수를 바꾸는 등의 작업도 보다 빠르게 할 수 있어 좀 더 유연하게 사용할 수 있다는 장점이 있습니다.
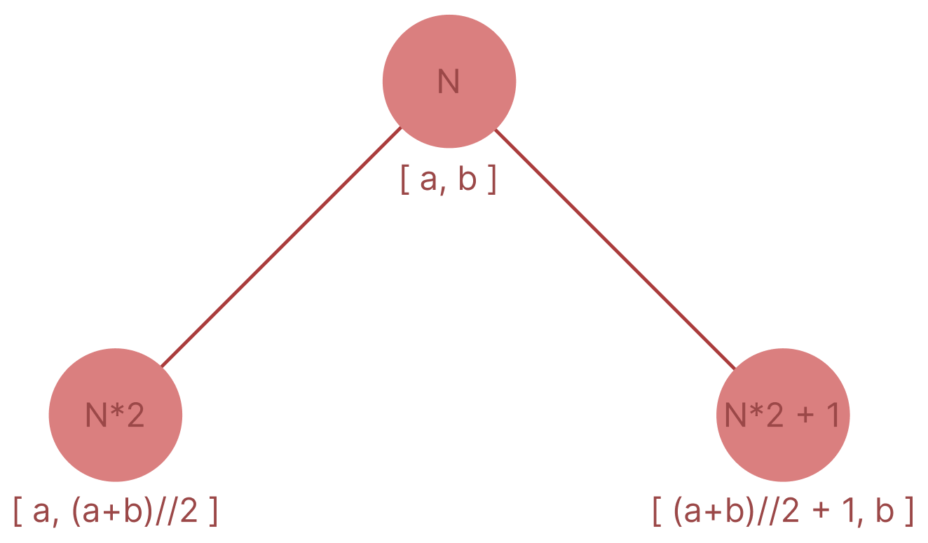
기초 세그먼트 트리는 모습은 이진트리와 유사하며 각 노드는 해당하는 범위의 합 / 곱 등 사용자가 원하는 선형 계산의 값을 보유합니다. 또 각 노드의 자식 노드의 범위는 부모 노드의 범위의 절반씩에 해당합니다.
또한 세그먼트 트리의 루트 노드는 1 로 설정하는 편이 편합니다. 그러는 편이 부모 노드에 2 를 곱하면 왼쪽 자식 노드, 2 를 곱한 뒤 1 을 더하면 오른쪽 자식 노드를 탐색하게 되어 탐색이 편하기 때문입니다.

import sys
from collections import deque
input = sys.stdin.readline
# segment tree
class SegTree:
def __init__(self, nums):
# 세그먼트 트리
self.seg_tree = [0 for _ in range(len(nums*4))]
# 범위, 인덱스를 저장할 데크
dq = deque([[1, 0, len(nums)-1]])
# 순회하며 세그먼트 트리에 추가
while dq:
# 인덱스 / 범위
idx, left, right = dq.popleft()
# 해당 범위의 합 추가
self.seg_tree[idx] = sum(nums[left:right+1])
# 길이가 1 이하면 다음 범위는 추가하지 않음
if right - left < 1:
continue
# 중간
half = (left + right) // 2
# 다음 범위 추가
dq.append([idx*2, left, half])
dq.append([idx*2 + 1, half+1, right])
# 원소를 교체
def change(self, idx, num, nums, left, right, node):
# 완전히 범위 밖이면
if idx < left or idx > right:
# 탐색하지 않음
return
# 범위안에 인덱스가 포함되면
else:
# 값 갱신
self.seg_tree[node] += num - nums[idx]
# 길이가 1 이하면 다음 범위는 추가하지 않음
if right - left < 1:
return
# 중간
half = (left + right) // 2
# 다음 범위 진행
self.change(idx, num, nums, left, half, node*2)
self.change(idx, num, nums, half+1, right, node*2 + 1)
# 구간합 계산
def subsum(self, idx, s_left, s_right, left, right):
# 완전히 범위를 벗어났으면
if (s_left > right or s_right < s_left):
# 계산하지 않음
return 0
# 완전히 범위가 일치하면
elif s_left == left and s_right == right:
# 값 리턴
return self.seg_tree[idx]
# 범위를 포함하면
else:
# 중간
half = (left + right) // 2
# 중간을 포함하면
if half <= s_right and half >= s_left:
# 분할해서 합
return self.subsum(idx*2, s_left, half, left, half) + \
self.subsum(idx*2 + 1, half+1, s_right, half+1, right)
# 중간을 포함하지 않으면
else:
# 작으면
if s_right < half:
# 작은 범위로 분할
return self.subsum(idx*2, s_left, s_right, left, half)
# 크면
else:
# 작은 범위로 분할
return self.subsum(idx*2 + 1, s_left, s_right, half+1, right)
def solution(N, M, K, nums, querys):
# 세그먼트 트리
seg_tree = SegTree(nums)
# 쿼리 순회
for a, b, c in querys:
# 수 변경
if a == 1:
seg_tree.change(b-1, c, nums, 0, len(nums)-1, 1)
nums[b-1] = c
# 합 츌력
else:
print(seg_tree.subsum(1, b-1, c-1, 0, len(nums)-1))
# 입력
N, M, K = map(int, input().strip().split())
nums = [int(input().strip()) for _ in range(N)]
querys = [list(map(int, input().strip().split())) for _ in range(M+K)]
solution(N, M, K, nums, querys)
728x90
'Coding Test > BaekJoon_Python' 카테고리의 다른 글
| 백준 9251 <LCS> Python (0) | 2024.11.25 |
|---|---|
| 백준 12931 <두 배 더하기> Python (0) | 2024.11.24 |
| 백준 15662 <톱니바퀴 (2)> Python (0) | 2024.11.22 |
| 백준 14950 <정복자> Python (1) | 2024.11.21 |
| 백준 2381 <최대 거리> Python (1) | 2024.11.20 |